Share this

Blog 02

blog-02

Eficacia a largo plazo de la sitagliptina: Observación de real-world (estudio PERS&O 2.0)

En el estudio PERS&O 2.0 se evaluaron los datos clínicos a largo plazo de los 440 pacientes reclutados en el estudio PERS&O (Buonaiuto G, y cols. BMJ Open Diabetes Res Care 2016;4:e000216). A cada paciente se le determinó el riesgo cardiovascular a 10 años usando la UK Prospective Diabetes Study (UKPDS) Risk Engine (RE). 1

El estudio PERS&O 2.0 fue retrospectivo, observacional, longitudinal a largo plazo, de real-world, en centro único, realizado en el norte de Italia que buscó evaluar el efecto metabólico y la evolución del riesgo cardiovascular al añadir Sitagliptina al tratamiento de pacientes con DM2. 1

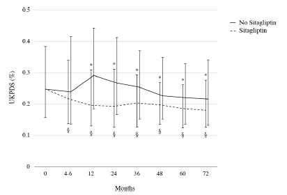
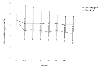
Uno de los resultados observados en los pacientes, fue el nivel de HbA1c, donde se observó una mejoría significativa al añadir Sitagliptina la cual se mantiene desde los primeros meses hasta 72 meses (ver gráfica 1). Además, se observó que con Sitagliptina los puntajes de riesgo cardiovascular a 10 años obtenidos con la herramienta de la UKPDS mostraron una mejoría sostenida, manteniendo la mayoría del tiempo puntajes por debajo de 0,2% dentro de los 6 años de la observación (ver gráfica 2). 1

blog-2-1

Gráfica 1. Resultados de evolución de la Hb1Ac con o sin sitagliptina en pacientes del estudio PERS&O. Imagen modificada de referencia 1

blog-2-1

Gráfica 2. Resultados de riesgo CV a 10 años con la herramienta de UKPDS con o sin sitagliptina en pacientes del estudio PERS&O. Imagen modificada de referencia 1

Los resultados obtenidos en este estudio a largo plazo y de real world permiten establecer que la Sitagliptina logra una mejoría significativa en el control metabólico así como una reducción en el riesgo cardiovascular.

Referencia:
1. Bossi AC, De Mori V, Galeone C, et al. PERsistent Sitagliptin treatment & Outcomes (PERS&O 2.0) study, long-term results: a real-world observation on DPP4-inhibitor effectiveness. BMJ Open Diab Res Care 2020;8:e001507.

También te podría interesar